Skip to content

axothy/SLE-solver

Folders and files

NameName
Last commit message
Last commit date

Latest commit

 

History

6 Commits
 
 
 
 

Repository files navigation

SLE-solver

Housholder reflection QR. System of linear equations.

We have SLE (System of linear equations):

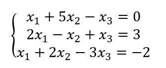
For example:

The result is:

Releases

No releases published

Packages

No packages published