Add Philips Hue Essentials E27 8W 806lm#3961
Add Philips Hue Essentials E27 8W 806lm#3961Triserden wants to merge 3 commits intobramstroker:masterfrom
Conversation
for more information, see https://pre-commit.ci
|
JSON Schema validation failed for Validator: Message: Instance: |
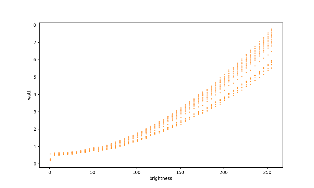
Well that's not great. Probably better if I used an actual resistive load instead of another bulb for the dummy load... I'll buy one and retry, but it might take a while. I'll look into the 500 errors in the meantime. |
|
Thank you please also see this doc for tips: https://docs.powercalc.nl/contributing/measure/standby_troubleshooting/ |
|
Btw the measurements itself look nice and consistent, so it's purely the standby power which is below the threshold to be picked up by shelly gen4, these devices are know to have a higher minimum value than the shelly gen3 devices which were recommended. |
|
Thanks! Is there a way to only measure standby power, or do you recommend measuring the whole range again? |
You can just use average mode and measure for 60-120 seconds for example. That's an option you can choose in the first step of the measure tool wizard. |


Device information
Philips Hue Essentials E27 806lm
Webshop (123led.nl) link:
Philips Hue Smart lamp E27 | Peer A60 | Mat | White & Color Ambiance | Zigbee | 8W (60W) | 3 stuks
Home Assistant Device information
LCA016
by Signify Netherlands B.V.
Firmware: 0x01000d08
Zigbee: 00:17:88:01:0F:E4:85:8F
Checklist
Additional info
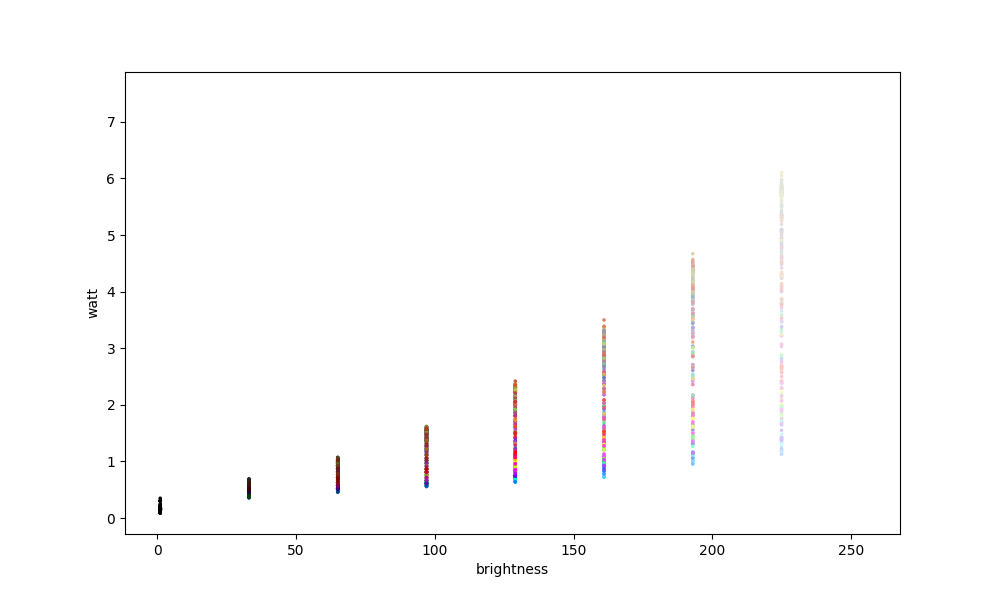
I unfortunately could not get a longer measurement in due to my HA instance occasionally giving 500 errors and crashing the whole measurement. If this is a problem, please let me know.